Нетканые одноразовые гарнитура оболочки наушников чехол для


Поделиться:

Цена:0,03 $ - 0,05 $*
Стоимость в USD (на сегодня):Узнать

Количество:

Описание и отзывы

Характеристики



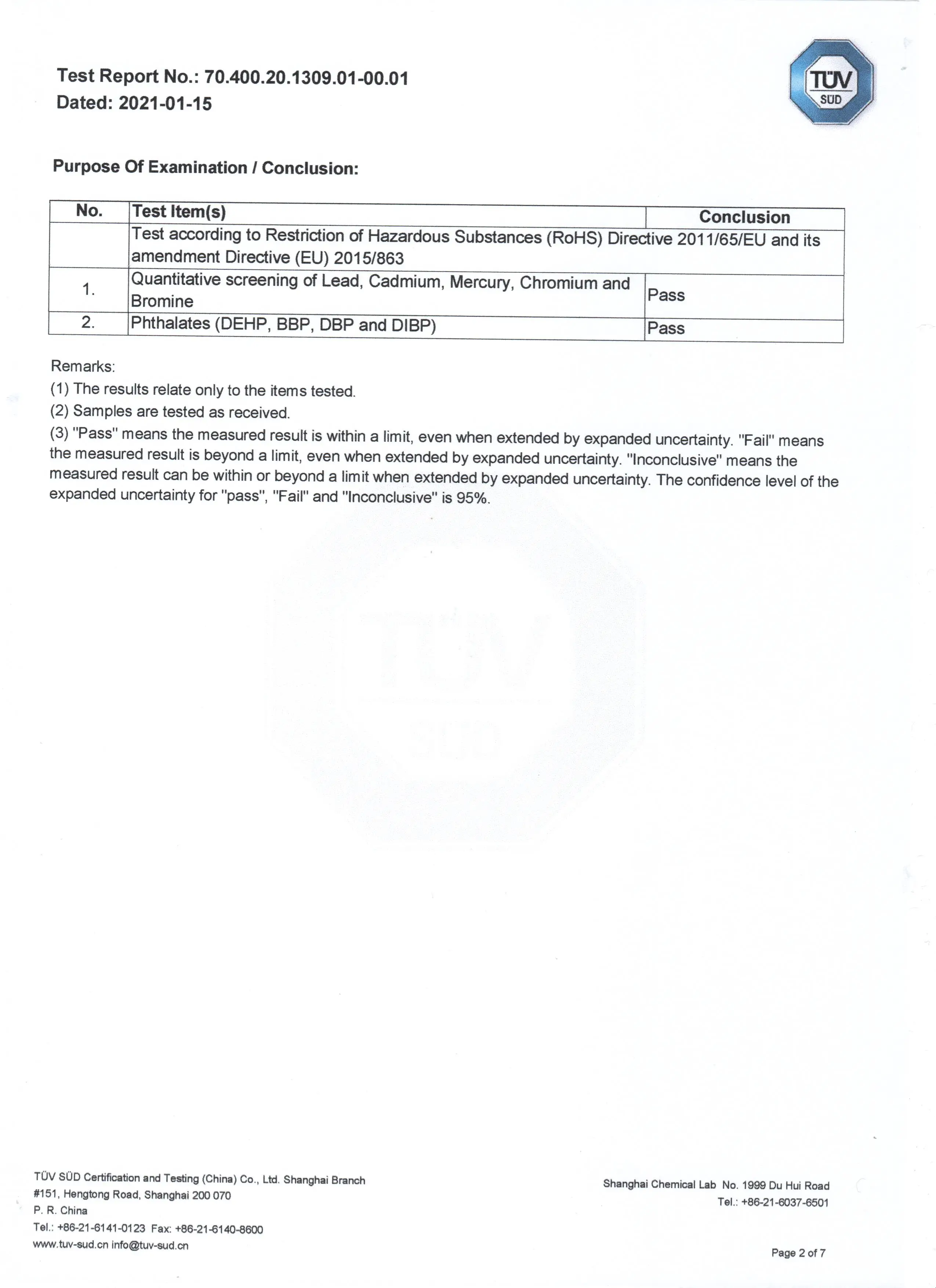
Product Description


Product Name
Disposable Headset Cover
Material
Non Woven Material
Function
Disposable,Sanitary,Ec-friendly
Package
100pcs/bag




  • Product performance description

Disposable Headset Cover :
2.5inch headset cover,color can be white,black and blue. Usually use in hospital or clinic for stethoscope.Material:30g non woven fabric
Size:2.5inch,Package:100pcs/bag
3.0inch headset cover,color can be white,black and blue. Usually use in school,Net Bar for health protection.Etc.Material:30g non woven fabricSize:3.0 inch.Package:100pcs/bag
4.0inch headset cover,color can be white,black and blue. Usually use in school,Net Bar for health protection.Etc.Material:30g non woven fabric,Size:4.0 inch.Package:100pcs/bag.
5.0inch headset cover,color can be white,black and blue. Usually use in hospital for MRI scan .Etc.Material:30g non woven fabric
Size:5.0 inch.Package:100pcs/bag







Product Usage


    • Advantages:

Our Advantages: Quality control and Certification Guarantee
* Highest quality products at lowest cost
* we’re direct manufacturer with 12 years experience in this field
* and low cost result from effective cost control and management as well as laboring.
* Well-organized facilities and a team of highly trained and professional employees
* Excellent service, large capacity and prompt delivery which will benefit you in the long run.
* The most reliable supplier that you can trust.



  • Applications

    Large size covers: Fits headphone earpiece diameter between 3-inches and 6-inches in size

    Small size covers: Fits headphone and headset earpiece diameter up to 3-inches in size

    Hygiene: Enables headphones to be be cleanly shared among numerous different users


  • Industrial Applications




Related Products








Packing&Shipping




Company Introduction


Our company  is a wholesale company that manufactures good & high quality knitting wear and woven wear, starting from 2008. The company provides the customized products and OEM service. Various new collections and design are coming out each month with the current styles and fabrics. The factory own the proficient skill and updated machine




Our Clients







Новинки - Розница

0.0277 s.