YGC 0 6/1 кВ 2 5-300 мм2 1-5 сердечник высокотемпературный огнестойкий мягкий медный


Поделиться:

Цена:*
Стоимость в USD (на сегодня):Узнать

Количество:

Описание и отзывы

Характеристики


Product Description:


YGC/YGZ Flexible Silicon Rubber Insulation and Sheath Cable takes advantages of extruded tubing technique which improves many properties of our product, such as reliability, water proof property, resistance to acid, alkali, aging, radiance, corrosive gas as well as low temperature, etc. Meanwhile, it also offers stable performance under high temperature, and it is widely applied for harsh environment.
Flexible Silicon Rubber Insulation and Sheath Cable is suitable for fixed power transmission and portable electrical apparatus whose rated voltage is 0.6/1kV AC or lower. This product is soft, and it allows convenient laying as well as long service life. Thus, it is widely used in different fields, such as metallurgy, petrochemical product, electrical industry, electronic product, automobile manufacturing industry and others.


 


1.jpg


 


 


Model and code description:


YGC/YGZ: Silicone rubber insulated and sheathed power cable
YGCR: Silicone rubber insulated and sheathed flexible power cable for movable applications
YGCP: Silicone rubber insulated and sheathed copper braid shielded power cable
YGG2G: Silicone rubber insulated and sheathed power cable with steel tape armor
JGG: Silicone rubber insulated and sheathed installation wire
JGGR: Movable silicone rubber insulated and sheathed soft installation wire
JGGP: Silicone rubber insulated and sheathed, copper braid shielded installation wire
Y---- Series code (movable soft cable)
G---- Silicon rubber
C---- Heavy type
2---- Steel tape armor
P---- Copper braid shield
R---- Multi-strand conductor 


.7_.jpg


 


 


 


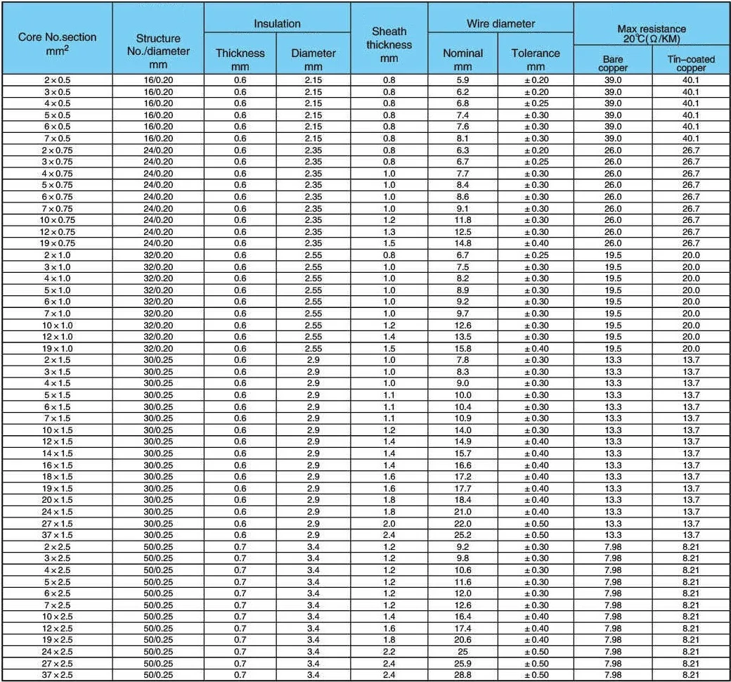
Product technical parameters:


6_.jpg


7_.jpg


8_.jpg


 


5_.jpg


 


 


Product Instructions for Use:


1. Rated voltage U0/U: 0.6/1kV
2. Max. working temperature: 180℃
3. Min. ambient temperature for working: -60℃ for fixed laying
4. Min. ambient temperature for laying: -25℃
5. Min. bending radius: 10 times of the overall diameter 


 


..2_.jpg


 


 


 


Product structure features:


1.Core for the anti-oxidation tinned copper, copper wire bright light resistance has a good electrical conductivity, energy saving, durable, high security.
2.Wire sheath and insulation are made of ultra-soft silicone rubber (plus oil-resistant paper) with wear-resistant acid and alkali oil long life and other characteristics
3.Silicone skin is soft, not easy to harden brittle and smooth surface.
4.Resistant to high and low temperature: -60 ℃ ~ +200 ℃


 


2_.jpg


 


3_.jpg


 


   


Silicone rubber Cable types:


Single Core tinned copper silicone rubber cable
Multi core tinned copper silicone rubber cable
450/750V 0.6/1KV Low voltage silicone rubber cable
8/15KV Middle voltage silicone rubber cable
High voltage silicone rubber cable
AWG Size silicone rubber cable
0.5-240mm² silicone rubber cable
High temperature resistant silicone rubber cable


 


.6_.jpg


 


 


Product details:


.jpg


 


       


Products real shot:


.jpg


 


  


A corner of the production workshop:


.jpg


 


  


Product packaging:


2.png


 


  


Product application case:


_.jpg








 


Новинки - Розница

0.0159 s.