12 видов цветов инвентарь чистое полотенце из микрофибры американский изготовленный на заказ отпариватель


Поделиться:

Цена:107,21 ₽ - 147,69 ₽*
Стоимость в USD (на сегодня):Узнать

Количество:

Описание и отзывы

Характеристики



Product Description


12 Colors Inventory Blank Microfiber Pitch Towel American Custom Steamer Football Towel




Details Information


                                                           WUJIANG FUXIU TEXTILE COMPANY LTD
Item NO# 
FX230714
Weight:
M
20g
XL
Product Name:
Streamer Football  Towel 
Printed Pattern :
27.9
OEM
31.9
Size :
OEM
Feature:
15.9
easy care, quick dry, soft, portable
17.1
Finishing:
dyeing +quick dry
Usage: 
sports




Best Selling




Package




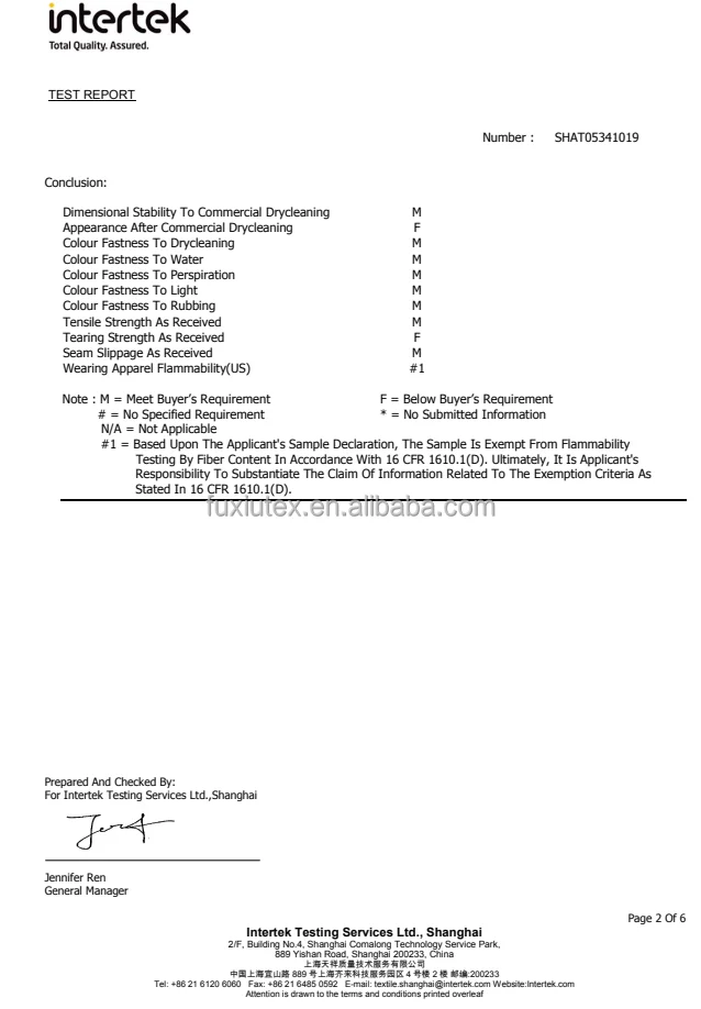
Test Report




Usage




Company Introduction


      Wujiang Fuxiu Textile Company Ltd is a professional manufactory which produce polyester and nylon wovnen fabric which set up in 2009. The production is includes high density taffeta, pongee, taslon , chiffon, spandex fabric, bend fabric, sofa fabric, oxford fabric, recycle fabric with variety different finishing process which used for casual jacket, down jacket, dress, uniform , bag and so on, and we also make beach towel, yoga towel, poncho towel for sports by own factory in these years. Weclome to our factory !




Our Advantages




FAQ





Похожие товары

Новинки - Розница

0.0375 s.