Zhejiang Longone Customization PP фильтровальная ткань для фильтровального


Поделиться:

Цена:23 721,70 ₽*
Стоимость в USD (на сегодня):Узнать

Количество:

Описание и отзывы

Характеристики



Product Overview


Filter Cloth
From raw materials to final products, Longone can fully achieve independent work. Longone is able to provide filter cloths of sizes and materials for any requirement.


Name
filter cloth
Material
PP


FEATURES AT A GLANCE


HIGH DENSITY
DIFFERENT HOLE
UNIFORMITY
TENSILE STRENGTH
SURFACE FLATNESS








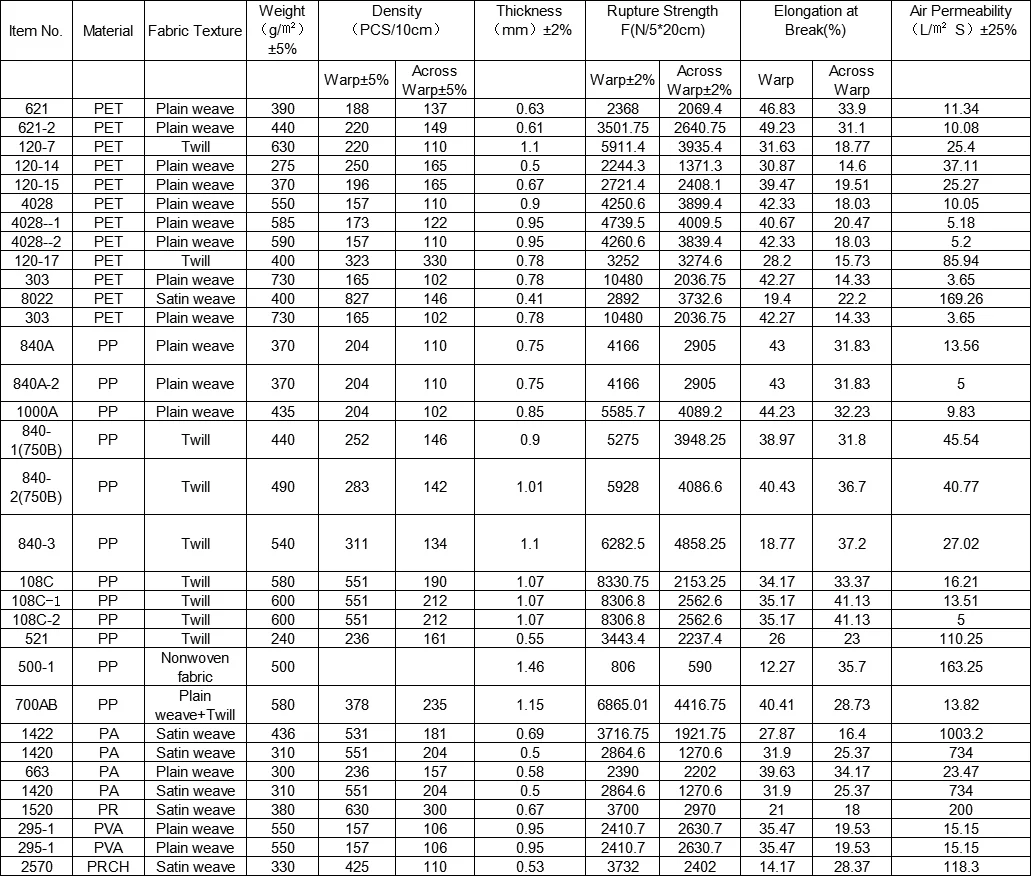
PRODUCT SPECIFICATIONS




Certificate







Новинки - Розница

0.0229 s.