Jmrrc Новый RC 8318 120KV бесщеточный беспилотный Летающий аппарат для охраны мотор 3080 реквизит Полетный контроллер дрона беспилотника с дистанционным


Поделиться:

Цена:7 910,48 ₽*
Стоимость в USD (на сегодня):Узнать

Количество:

Описание и отзывы

Характеристики

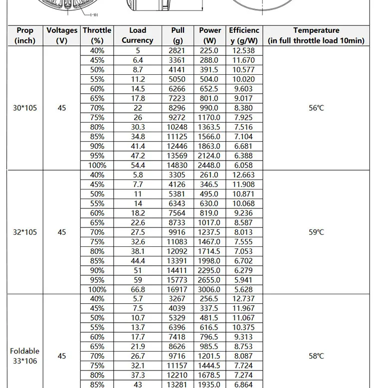
JMRRC Новый RC 8318 120KV бесщеточный двигатель защиты растений для 3080 реквизита Мультикоптер Дрон БПЛА

 

 

 

 multicopter Drone UAV-in Partsmotor motorAccessories from Toysbrushless motor bearingsmotor brushless motorChina brushless motor bearings SuppliersHigh Quality motor brushless motor8318 100KV 120KV Aerial/Plant Protection UAV Brushless MotorRC Plane Brushless Outrunner Motorjmrrc drone,WJD drone

Если вам нужен другой тип двигателей, вы можете связаться со мной.

 

 

 

 

 


Похожие товары

Новинки - Розница

0.0026 s.