Подлинная новая CCEC KTTA19-C700 SO40378 строительная техника двигатель для Belaz


Поделиться:

Цена:*
Стоимость в USD (на сегодня):Узнать

Количество:

Описание и отзывы

Характеристики


Genuine New CCEC KTTA19-C700 SO40378 Construction Machinery Engine for Belaz  Dump Truck 7555B

Product Description
 

 

Product nameEngine Assembly
Engine ModelKTTA19-C700
SO Number

SO40378

MOQ1 PCS
PackageStandard export package
Payment termBy Trade Assurance,  Western Union,T/T

 

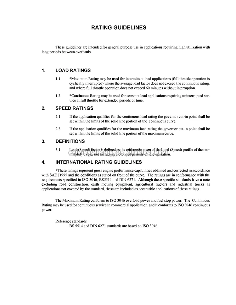
Engine Specifications

0001.jpg0002.jpg0003.jpg0004.jpg

 

Used for Belaz  Dump Truck 7555B

Truck.jpg

 

Good Ratings

Customer's Feedback.JPG 

SGS Certificate

Our Company and Cooperation Manufacturer are all Assessed by SGS!

SGS Certificate.jpg 

Our Factory

333

 



Новинки - Розница

0.0045 s.