Оцинкованная машина для выравнивания и резки катушек из нержавеющей


Поделиться:

Цена:*
Стоимость в USD (на сегодня):Узнать

Количество:

Описание и отзывы

Характеристики


Product descriptions

Features

  • Cutting line for cutting flat rectangular blanks from main coils. For widths of up to 3000 mm, thicknesses of up to 25 mm and speeds of up to 150 m/min.
  • The lines can be supplied with start-stop shears, flying shears, rotating shears or continuous direct feed. Air cushion, bomb-door type, electromagnetic or vacuum stackers. High-precision levellers of four, five and six heights, computer controlled. Edge trimming may be incorporated..
  • Totally computer-controlled with diagnosis, automatic coil feed and quality control.
  • For carbon steel, exposed and non exposed material, stainless steel, pre-painted steel, aluminium and other metals.

 

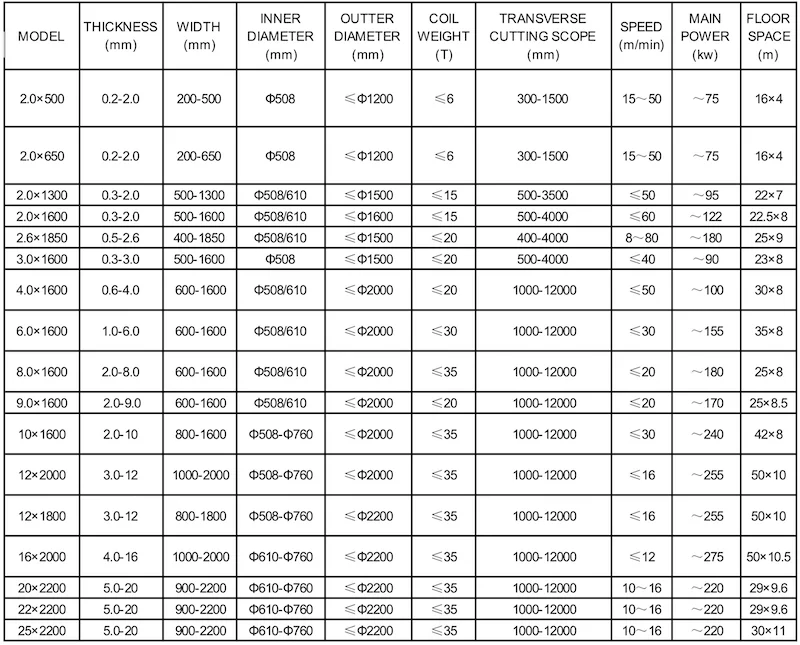
Specifications

IMG_1911IMG_1914IMG_1926IMG_1922IMG_1920IMG_1921IMG_1923

Company Information

METMAC has successfully worked in the market of machine tools for cutting and metal working machine, air duct machine, roll forming machine, steel structure machine. The company's mission: to make modern technologies of metal available in worldwide.Our main goal is to take over all the difficulties that arise when the client manufacturing new equipment.

  • We not only apply ourselves to develop the new products and improve our products’ quality, but also build a quite perfect after sales service network all over the world and supply more convenience and better service for our customers.
  • We supply the foundation fig of the machine’s installation but not constructing. We take charge of the machine’s installation and adjustment if you supply the lifting equipment and necessary conditions.
  • When the machine is finished, we will inform you to inspect the machine in our factory. After your inspection and acceptance, the machine will be shipped.
  • During installing the machine, we supply training and technical consultation service, buyer be in charge of accommodation, flight and daily salary of technician.
  • The final acceptance of the machine is done in you place according to the signed agreement and relative technical files.
  • We guarantee for product’s maintenance, change and return after sales for one year. In this period, we can change the damaged parts for free if not your responsibility (not including easily worm parts). After this period, we can repair the machine for you only taking the basic charge.

Visit offical web WWW.METMAC.COM for more information.

 

Customer's factories

 

Packaging & Shipping

 

With Customers

 

Certifications

 

FAQ

1. How to get a accurate quotation from us?

Provide us the detail of the material such as metal thickness and width.

 

2. What’s the shipping cost from China to your country?
We can send machine to your port or door address by sea or airplane. Please kindly tell us your nearest port or address with postcode.We have reliable shipping agent to insure the safe, convenient and timely delivery.

 

3. Payment terms, MOQ, warranty, FOB.
Payment terms: 30% TT paid in advance, the balance of 70% before the shipment.
Minimum order quantity: 1 set, FOB HUANGPU, CHINA.
Delivery time :7 days after receipt of formal order and 30% deposit.
Warranty:12 months.

 

4. What’s the package?
Fumigation-free plywood case or without package.

 

5. What about commissioning service?
We can offer commissioning service, the buyer need to afford air tickets.

 

6. What’s policy for guarantee and broken parts?
Warranty period of equipment lasts a year, during which the broken parts and spares caused by quality can be offered free.

 

Contact Us

 



Новинки - Розница

0.0232 s.